注意缺陷多动障碍(Attention-Deficit/Hyperactivity Disorder, ADHD)是源于儿童时期的一种神经发育障碍,其主要特征是与发育水平不相称的注意缺陷和(或)冲动多动(American Psychiatric Association, 2013)。我国ADHD儿童患病率高达6.3% (Li et al., 2022),有超过2300万的ADHD儿童及其家长正面临困扰,已成为儿童青少年最常见的精神疾病之一。ADHD不仅损害个体的学习表现和人际关系,还对其情绪和社会适应造成负面影响,所带来的危害伴随生命全周期。尽管药物治疗,特别是兴奋剂(如哌甲酯类药物),被广泛认为是治疗ADHD的首选方法,但并非所有患者都对药物治疗产生积极反应。有研究表明大约20%至30%的患者无药物反应,并且药物治疗的副作用也是一个重要的担忧(Brinkman et al., 2018; Mechler et al., 2022; Storebo et al., 2015)。因此,如何实现对ADHD儿童核心症状进行有效且持续的非药物治疗是目前领域内亟待解决的重要问题。
近日,西南大学365上市公司(英国)集团冯廷勇教授团队在临床神经病学著名期刊《Journal of Affective Disorders》(中科院二区TOP期刊)发表题为《The effects of mindfulness and cognitive strategy interventions on core symptoms in children with ADHD: A randomized controlled trial》的研究成果。该研究创新性地将正念训练与认知策略干预相结合,首次通过随机对照实验系统验证了这一综合干预模式在改善ADHD儿童核心症状及提升执行功能方面的显著效果及其长期稳定性,为ADHD儿童的非药物化干预提供了新的科学依据与实证支持。
本研究采用随机对照试验(Randomized Controlled Trial,RCT)设计,纳入6-12岁ADHD儿童70名(见图1),共分为三个组别,包括以正念为主和以认知策略为主的两个干预组和一个对照组。其中,干预组的儿童接受了为期12周的干预训练,每周进行2次,每次至少60分钟,每组包含6-8名儿童。研究结合标准化量表评估与多种认知任务,从症状表现和认知功能两个层面,全面评估干预效果及其持续性。

图1 研究过程中被试参与情况
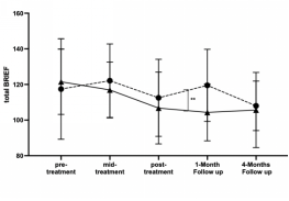
结果发现,(1)结合正念和认知策略的综合干预课程能够显著改善ADHD儿童的核心症状及提升执行功能,且与对照组相比,干预组有更多儿童表现出可靠的临床改善(见图2);(2)进一步分析表明,干预训练对ADHD儿童核心症状的改善主要是通过提升执行功能来实现的;(3)经过4个月的追踪随访(见图3),干预训练对核心症状和执行功能缺陷的改善效果可持续存在。值得注意的是,以正念为主的干预组对ADHD儿童多动冲动症状及执行功能缺陷的改善效果更显著,且这种效果更稳定。总之,本研究首次提出了一种可行和有效的综合正念和认知策略的干预方案,为ADHD儿童提供了一种有前景的非药物治疗方法,并证明了执行功能在缓解核心症状中的关键作用。这为日后开发与执行功能相关的心理行为干预训练和非侵入性神经调控干预方案提供了重要的科学依据。


图2. 三个组别干预前后ADHD核心症状总分和执行功能总分差异比较


图3. 折线图显示ADHD症状和EF缺陷在治疗前、治疗中、治疗后、随访1个月和4个月时的评分变化
该研究团队长期致力于ADHD、ASD等神经发育障碍的发病机制、多模态评估及干预研究,持续开展系列“顶天立地”的基础创新与临床应用研究(王雪珂 & 冯廷勇2023;Wang et al., 2021, 2025a, 2025b; 王雪珂 等,2025)。本研究是团队既往研究成果的重要延续与深化,进一步推动了相关领域从机制探索向循证干预转化的发展。未来,团队将围绕ADHD儿童的早期识别、精准评估与精准干预开展更加系统的本土化研究。
该论文的第一作者为365上市公司(英国)集团职前博士后王雪珂,冯廷勇教授为论文通讯作者,重庆医科大学附属儿童医院陈立教授为共同通讯作者。该研究得到国家重点研发计划项目(2022YFC2705201)、国家自然科学基金面上项目(32571253, 32271123)、重庆市技术创新应用发展重点项目(CSTB2022TIAD-KPX0150)和西南大学创新研究2035先导计划(SWUPilotPlan006)的资助。
Wang, X., Chen, L., & Feng, T. (2026). The effects of mindfulness and cognitive strategy interventions on core symptoms in children with ADHD: A randomized controlled trial. Journal of affective disorders, 394(Pt A), 120513