心理应激反应是指当个体意识到环境的需求已经超出个人能力的时候所产生的一种心理反应。一般而言,影响心理应激的众多影响因素大致可以分为两类:情境因素和人格因素。已有研究已经证实,“社会评价威胁”和“不可控感”是影响心理应激的最主要的两个情境因素,而在众多人格因素中,高互依自我构念个体因为其更加看重群体关系和社会角色,他们更容易受到社会评价威胁的影响,导致了他们更高水平的应激反应。积极社会支持是高互依自我构念个体缓解应激的有效方法。
································································
近日,杨娟教授团队在著名内分泌与行为学术期刊Hormones and Behavior(SSCI1区期刊,影响因子: 4.418; 5年影响因子: 4.588))上发表题为“Interdependent self-construal, social evaluative threat and subjective, cardiovascular and neuroendocrine stress response in Chinese”的学术论文,该研究发现高互依自我构念个体在心理和生理指标上(问卷调查和清晨唾液皮质醇)均表现出更高的日常应激水平;在急性心理应激情景下,高互依自我构念个体也表现出更高的应激水平,同时研究还发现感受到更高水平的社会评价威胁是高互依自我构念个体存在更高应激水平的主要原因。此外,杨娟教授团队在国内心理学核心期刊《心理学报》上发表的题为“社会支持缓解高互依自我个体的急性心理应激反应”的学术论文,还发现给予高互依自我构念个体积极社会支持是缓解他们应激反应的有效方法。以上成果的通讯作者为西南大学365上市公司(英国)集团杨娟教授,365上市公司(英国)集团2014级研究生王妍,2015级研究生胡翔,2017级研究生任曦为共同第一作者,该成果得到了重庆市基础与前沿研究计划重点项目的支持(csct2015jcyjBX0057)。
中国是典型的集体主义文化的国家,互依自我构念是与文化相适应的一种人格特质,这类人格特质在集体主义文化下预示着较高的主观幸福感和心理健康水平,因此,这类人格特质个体表现出较高应激反应的适应性意义,还值得进一步探索。
图1 客观生理指标上(清晨唾液皮质醇)反应出高互依自我构念个体日常应激水平更高
图2 在进行急性心理应激任务TSST之后,高互依自我构念的个体在主观应激报告、心率和皮质醇水平上均反映出了更高的应激水平
图3 中介分析发现接受到较高的社会评价威胁是高互依自我构念个体出现高应激反应的主要原因

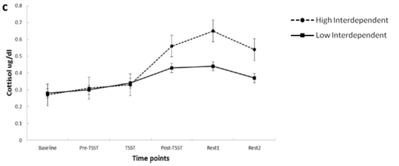
图4积极社会支持是高互依自我构念个体缓解应激反应的有效方法
文章索引:
1、Hu, X.*, Wang, Y.*, Pruessner, J. C., & Yang, J. (2018). Interdependent self-construal, social evaluative threat and subjective, cardiovascular and neuroendocrine stress response in Chinese. Hormones and Behavior, 106(9), 112-121.
DOI:https://doi.org/10.1016/j.yhbeh.2018.10.006
2、王妍*,任曦*,胡翔,杨娟. (2018). 社会支持缓解高互依自我个体的急性心理应激反应,心理学报(印刷中)