内感受作为人类的第八感,却是一个让大多数人感到陌生的词汇。事实上,内感受与人类的生存息息相关,是指对于身体信号的有意识的知觉,其重要功能之一是维持身体的内稳态。包括饿,饱,渴,胀,冷,热,肌肉松紧,心跳,呼吸等。近年来,关于内感受的研究呈快速增长,因为研究证实内感受在身体知觉,情绪体验,自我调节,决策和自我意识等过程中都发挥着重要作用。此外,如果内感受过程发生错误,则容易导致焦虑症,成瘾等身心障碍。及时发现错误并对错误进行监控同样对于我们的生存十分关键,一种常用的测量大脑错误加工过程的指标是错误相关负波(error-related negativity,ERN)。错误相关负波是通过脑电观察到的与犯错误行为伴随的特定的事件相关电位。但是之前的错误相关负波都是在视觉、听觉等外感受任务基础上进行测量的。本研究是第一个对与生存紧密相关的内感受错误加工过程及其与焦虑的关系进行观察的研究。
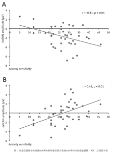
通过与荷语鲁汶大学Andreas von Leupoldt教授及Omer Van den Bergh教授的合作,邱江教授团队通过选取40名健康的志愿者作为被试,使用脑电设备记录在呼吸阻塞任务和视觉Flanker任务中分别观察内感受错误相关负波(interoceptive ERN, intERN)和外感受错误相关负波(exteroceptive ERN, extERN)。在呼吸阻塞任务中,被试接收两种长度的呼吸阻塞,并判断当前呼吸阻塞刺激是长的还是短的。在Flanker任务中,被试判断电脑屏幕上箭头的方向。内感受相关的焦虑用焦虑敏感指数(Anxiety Sensitivity Index, ASI)测量。结果显示,与外感受错误相关负波类似,内感受错误相关负波发生于犯错误行为后且位于额中头皮(fronto-central)。此外,更高水平的焦虑敏感指数与更大的内感受错误相关负波的波幅显著相关,与更小的外感受错误相关负波的波幅显著相关。由此可见,内感受错误相关负波有可能成为未来关于内感受、负性情绪及错误加工研究中有效的神经电生理标记。研究成果已发表在国际著名期刊NeuroImage上(Impact factor: 5.426; 5-Year Impact Factor: 7.07),博士生谈雅菲为论文第一作者,邱江教授和Andreas von Leupoldt教授为论文通讯作者。
与当代流行的瑜伽和冥想一样,内感受相关的研究强调个体对生理信号的知觉。对生理信号正确而有效的知觉,不仅对于维护身体健康有好处,也有助于缓解个体的焦虑、抑郁等情绪障碍,对于成瘾的治疗也有帮助。

文章索引
Tan, Y., Vandeput, J., Qiu, J., Van den Bergh, O., von Leupoldt, A. (2018). The error-related negativity for error processing in interoception. NeuroImage, 184, 386-395.
DOI: https://doi.org/10.1016/j.neuroimage.2018.09.037
https://www.sciencedirect.com/science/article/pii/S105381191830822X