“考考考,老师的法宝;分分分,学生的命根”。学业成绩一直是我国衡量学生学习进步、升学以及人才选拔最主要形式,备受社会、家长、教师以及学生本人的高度关注。由此给中小学生带来了诸多的精神压力,例如,高水平的抑郁和焦虑。众所周知,应试教育可能会阻碍学生的想象力,创造力和自我概念的发展,并增加精神压力和心理健康问题。为此,提高学生心理素质,维护心理健康已经成为发展素质教育的重要内容。尽管心理素质这一概念已经在我国学校教育系统中得到了广泛应用,但心理素质对学生学业发展的纵向影响仍然未知。
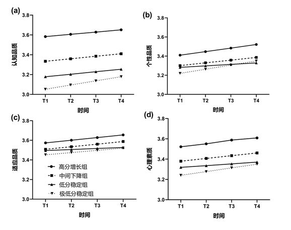
本研究以我国西南地区10所中学3587名初一和高一学生(M年龄 = 14.85岁,51.1%男生)为研究对象,进行了为期2年(四次)的追踪研究。采用混合增长模型探讨了心理素质对学业发展轨迹的影响。首先,研究采用混合增长模型区分了四种不同类型的学业成绩发展轨迹(图1),即高分增长组(19.9%青少年)、中间下降组(38.4%青少年)、低分稳定组(32.6%青少年)、极低分稳定组(9.1%青少年)。其次,采用多元逻辑回归模型分析了协变量以及心理素质及分维度的初始值是否能够区分这四组不同成绩发展轨迹的类型。结果表明,心理素质中的认知品质很好地区分了四种不同类型的学业成绩发展轨迹,认知品质高的个体更多地处于高分增长组中。再次,进一步对四种不同成绩轨迹的心理素质进行增长模型检验(图2),结果表明,四组青少年的心理素质均有所增长,但在高分增长组中,认知品质的增长非常明显。最后,对四种不同成绩轨迹进行预测,结果发现认知品质的初始值与高分增长组的初始值和斜率密切相关,并且认知品质的斜率与中间下降组的斜率(下降)相关;此外,个性品质和适应品质的斜率与中间下降组的斜率负相关。
本研究结果启示心理素质会对不同人群的学业成绩发展产生影响,并且高分的学业成绩者往往具有较高的心理素质,且认知品质尤其重要,而个性品质和适应品质的发展对缓解学业成绩的自然下降具有保护作用。为此,未来教育者在考察学生的学业发展时,不仅应该纳入认知因素的考察,而且需要纳入对非认知因素的考察。
该研究发表在英国的教育心理学老牌杂志《British Journal of Educational Psychology》上。西南大学365上市公司(英国)集团张大均教授和郭成教授为论文共同通讯作者,第一作者为西南大学和美国加州大学伯克利分校联合培养在读博士生聂倩。本研究得到中央高校创新团队项目(SWU1909106),以及中央高校学生科研业务费(SWU1909566)的资助。
论文信息:Nie, Q., Teng, Z., Yang, C., Lu, X., Liu, C., Zhang, D., & Guo, C. (2020). Psychological suzhi and academic achievement in Chinese adolescents: A two-year longitudinal study. British Journal of Educational Psychology. https://doi.org/10.1111/bjep.12384
全文链接:
https://www.researchgate.net/publication/344521073_Psychological_'Suzhi'_and_Academic_Achievement_in_Chinese_Adolescents_A_Two-Year_Longitudinal_Study


图 1. 四种类型学业成绩的发展轨迹

图2. 四种类型学业成绩的心理素质增长模式