冯廷勇教授团队在《Research in Autism Spectrum Disorder》发文揭示自闭症患儿对社会刺激的注意加工机制
自闭症(孤独症, Autism)是一种复杂的神经性发育障碍,一般起病于36个月以内,核心症状主要包括社会交往与沟通障碍、兴趣狭窄或刻板重复的行为方式(DSM-V; APA, 2015)。自闭症的患病率在1%以上,并且男孩比女孩多3-4倍。其中,自闭症患儿对社会信息的视觉注意异常,被认为是自闭症早期行为特征的诊断标准(Klin et al. 2009; Pierce at al. 2011; Chawarska et al. 2013)。已有研究者发现,在儿童早期,对社会信息的检索定向和注意加工困难可能会导致儿童社会知觉和认知方面上的缺陷(Jones et al.2008; Dawson et al. 2005; Schultz 2005),进而使得儿童无法理解社会刺激。然而,自闭症患儿的社会性注意异常机制仍未完全清楚。因此,探究自闭症儿童社会注意的初始定向和后续加工能力对于早期鉴别和预防干预自闭症具有重要的科学价值和实践意义。
近日,西南大学冯廷勇教授团队在自闭症领域的著名杂志《Research in Autism Spectrum Disorder》上发表了题为“Orientation to and processing of social stimuli under normal and competitive conditions in children with Autism spectrum disorder”的研究文章。该研究结果表明自闭症患儿的初始定向能力是正常的,但是对社会刺激的后续加工处理能力受到了损害,此外自闭症患儿的症状严重程度与对社交刺激的注视时间呈显著负相关。
本研究主要设计了正常(背景检索任务, background search task)和竞争(配对偏好任务, paired preference task)两种不同的社会注意条件,来探究自闭症患儿在注意阶段对社会刺激的初始定向能力和后续处理能力是否异常,以及当社会刺激与不同类型的非社会刺激配对时,自闭症患儿是如何进行注意力分配的。眼动追踪技术用于收集儿童的注意指标,能够更准确地探测自闭症个体在自发注视模式下的细微变化(Klin, Jones, Schultz, & Volkmar, 2003; Klin et al., 2002),具有可视化和生态性。
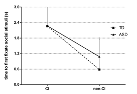
背景检索任务发现,自闭症儿童在社会注意阶段的初始定向能力是正常的,但对社会刺激的后续加工处理存在困难。也就是说,在嵌入社会刺激的自然场景图片中,自闭症患儿能够成功检索定向到社会刺激,但是难以维持持续的社会注意,不能够对社会刺激进行深入加工(如图1)。同时对数据进行可视化分析发现,与正常儿童相比,自闭症患儿的注视轨迹图更加分散,注视点多而乱,每个注视点时长都较短(如图2)。

图1. ASD组和TD组在初始定向时间(TFF)上不存在显著差异 [ T (45) = -0.74, p = 0.471] ,在首次注视时间(FFD)和总注视时间(TFD)上均存在显著差异 [ TFFD(45) = -3.67,p < 0.001; TTFD (45) = -3.34, p < 0.01] ;与TD组相比,ASD组对社会刺激的首次注视时间和总注视时间较低。

图2. 注视轨迹图:(左:自闭症; 右:正常儿童)背景图为背景检索任务的实验材料
重要的是,研究还发现,对社会刺激的后续加工能力可以预测自闭症症状的严重程度,对社会刺激的注视时间越短,ASD症状越严重(如图3)。这一结果有可能被用作预测和确定自闭症症状严重程度的诊断标准,以及进一步证明眼动指标也可以作为早期筛查的科学方法。

图3.自闭症症状的严重程度(ABC得分)与社交刺激的注视时间(FFD/TFD)之间的相关分析散点图[ rFFD (24) = -0.523,r TFD(24) = -0.74]
配对偏好任务通过收集儿童在不同类型的非社会刺激(局限性刺激和非局限性刺激)的竞争下对社会刺激的注意加工特点,进一步证实了自闭症儿童的注意异常机制。结果显示,当社会刺激与非局限性刺激(非社会刺激)配对时,自闭症患儿的初始定向能力与正常儿童没有差异,但是对社会刺激的后续加工能力是异常的(见图4)。


图4. 当社会刺激与局限性刺激配对时,ASD和TD儿童都优先注意局限性刺激,而当社会刺激与非局限性刺激配对时,ASD儿童在社会注意阶段的定向能力与TD组没有差异[F (1,50) = 61.491, p < 0.001, η2 = 0.552];当社会刺激与局限性刺激配对时,ASD组和TD组更倾向于处理局限性刺激,但当社会刺激与非局限性刺激时,ASD组对社会刺激的总注视时间较低 [F (1,50) =24.84, p < 0.001, η2 = 0.332]

图5.注视轨迹图:(左:自闭症; 右:正常儿童)背景图为配对偏好任务的实验材料(社会刺激与局限性刺激相匹配)
此外,研究进一步发现自闭症患儿的社会性注意受到与其配对的非社会刺激类型的显著调节。自闭症患儿优先注意和加工处理局限性刺激,而对社会刺激的注意减弱;更重要的是,当社会刺激与非局限性刺激配对时,自闭症患儿对社会刺激和非局限性刺激的定向和处理加工不存在显著差异。这也说明缺乏社会动机或难以理解社会刺激,使得自闭症患儿很难区分社会刺激和非社会刺激,因此导致对社会刺激的后续加工处理异常。我们在可视化分析中也发现,自闭症患儿对局限性刺激的异常加工,相比于正常儿童,自闭症患儿过分专注于局限性刺激的某一特定区域,同时对人像进行加工时,对面部的核心特征区注视点较少且分散。(见图5)
该研究采用眼动追踪技术,系统研究了自闭症儿童在正常条件和竞争条件下对社会刺激初始定向和后续加工能力的异常。它对于进一步了解自闭症的核心症状具有重要的科学价值,也为自闭症的早期识别和干预训练提供新的视角。该论文的第一作者为研究生王雪珂,通讯作者为冯廷勇教授,该研究受到国家自然科学基金项目(31971026)和(SWU2009104)资助。
文章索引
Wang X., Chen l., & Feng T., (2020). Orientation to and processing of social stimuli under normal and competitive conditions in children with Autism spectrum disorder. Research in Autism Spectrum Disorder.78, 101641